STATIC AND DYNAMIC CUES IN VOWEL PRODUCTION: A CROSS DIALECTAL STUDY IN JORDANIAN AND MOROCCAN ARABIC.

Jalaleddin Al-Tamimi
Laboratoire dynamique du Langage – CNRS – Université Lyon 2 (UMR 5596), 14, Avenue Berthelot – 69007 Lyon – France

ID 1259
[full paper]

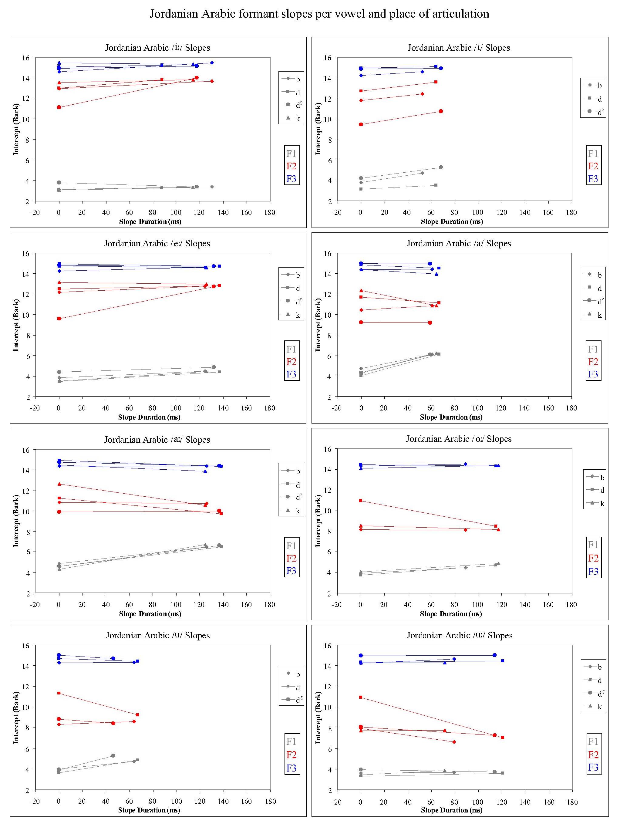
The aim of this paper is to examine the role of dynamic cues (i.e. formant slopes obtained from a linear regression analysis) in comparison with static one (i.e. vowel targets) in the classification of Jordanian and Moroccan vowels, using Discriminant Analysis. 10 speakers per dialect produced a list of vowels in C1VC2, C1VC2V, or C1VC2VC words, where C1 and C2 were either /b/, /d/, /d/(pharyngealized) or /k/, and V, each vowel. Results show the possibility of vowel separation between both dialects for a specific consonantal environment. Using dynamic cues improves the correct classification rates of about 5% for Moroccan Arabic and 13% for Jordanian Arabic.

Extra Files: